2021年,诺贝尔化学奖授予了Benjamin List和David W.C.MacMillan,以表彰他们在“不对称有机催化”的发展的贡献。
什么是“不对称有机催化”?为什么这个发现如此重要?那我们不得不提历史上一个非常有名的事件——“反应停事件”。

“反应停事件”也称“沙利度胺事件”,有一个药剂师在合成抗生素药物时分离到一个副产物沙利度胺,意外发现沙利度胺不但有镇静催眠作用,还能显著抑制孕妇的妊娠呕吐反应。后来,沙利度胺以商品名“反应停”正式推向市场,一时间风靡欧、非、拉美、澳洲和亚洲(主要在日本和中国台湾地区)。药品生产厂家宣称沙利度胺是“没有任何副作用的抗妊娠反应药物”,反应停事件成为“孕妇的理想之选” (当时的广告语)。
后来统计,在“反应停事件”大行其道的短短4年里,造成近2万名海豹肢畸形儿出生,其中4000名左右的婴儿都是不到1岁就夭折了

图1. 反应停事件受害者(下图为著名的励志演说家尼克·胡哲)
后来的研究发现沙利度胺实际上是由两种非常相似的化学物组成,相似的就像我们的左右手一样,难以区别,俗称手性化合物。其右手化合物(R-构型)具有抑制妊娠反应活性,而左手化合物(S-构型)有致畸性,罪魁祸首就是它!而在当时,一方面,科学界尚不知道长得非常相似的两个化合物在生物体内有这么大的差异;另一方面,即使知道它们的差异,由于检测手段的落后,也无法分辨哪个是左手化合物,哪个是右手化合物。

图2. 沙利度胺有两种构型,呈镜像结构,但不能重叠
我们现在知道很多天然活性物质都是带有旋光性的,天然的Vc是左旋的,天然麦角硫因是左旋的,天然的组成蛋白质的氨基酸基本都是左旋的,生物体内的葡萄糖是右旋的等等,所以生命对于物质的构型是有严格的选择的。
说一个我们都知道的,反式脂肪酸,只是双键两边结构有稍微的区别,反式脂肪酸就会对人体造成肥胖、心血管疾病、影响发育等各种坏处,但顺式的十八碳烯酸(油酸)却是人体必须脂肪酸。反式脂肪酸更稳定,一般在高温下,顺式会转变成更稳定的反式结构,所以经过反复煎炸的油反式脂肪酸含量会提高。另外反式脂肪酸最大的来源是氢化植物油,主要是因为加氢在高温高压下进行,以前的技术又很难加氢完全(消除所有的双键),残留的双键顺式结构会转变为反式结构。但现在技术已经非常成熟,可以做到完全加氢,所以氢化植物油也可以做到0反式脂肪酸。(国家法律规定,当反式脂肪酸含量低于0.3%时可以标注0反式脂肪酸,因为正常的动植物油脂也含有一定量的反式脂肪酸)

图3. 反式十八碳烯酸(上)和顺式十八碳烯酸(下)
科学家要做的就是找到对我们有利的构型并且定向合成它,因此这是一个伟大的工作。
回到我们的主题,α-GG(具有活性的甘油葡糖苷)又是如何合成的呢?
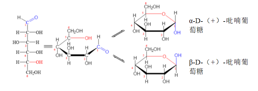
甘油有3个羟基(-OH),葡萄糖有五个羟基(-OH),天然构型的葡萄糖是右旋的,标记为D型,它有两种构型,分别称为α-D-(+)-吡喃葡萄糖和β-D-(+)-吡喃葡萄糖(见图4)。理论上的甘油和葡萄糖的连接有30种构型,自然存在的构型有六种(见图5),研究最多的是α构型,那如何获取这种构型呢?目前一共有三种方法:化学法、发酵法和生物酶法。

图4. 天然葡萄糖的构型

l 化学法
Tatsuuma-Honke 酿酒公司报道了通过化学法合成αGG、2S-1-αGG 和2R-1-αGG 的技术,它们都是米酒中甘油葡萄糖苷的活性成分。利用高碘酸钠和硼氢化钠催化麦芽糖醇为αGG,产率18% 。之后又利用乙酸、四乙酸铅和硼氢化钠催化异麦芽糖得到的2S-1-αGG,产率为12% 。然后以海藻糖为原料,用四醋酸铅经乙二醇裂解合成了2S-1-αGG 和2R-1-αGG 混合物(含量比为73 :27),但它们的产率仅为5% 。
所以,化学法合成得到的α-GG 转化率太低、副产物多,因此后续纯化步骤将是非常复杂且不经济的。但市场上可能依然存在一些化学合成的甘油葡糖苷,不经过后续的分离提纯,所以杂质比较多,活性成分比较少,但价格便宜。
l 发酵法
发酵法目前是研究比较多的,在上一篇文章中我们提过,甘油葡糖苷是一些蓝藻在高盐压力下合成的一种保护自己渗透压和酶活性的相容性溶质。那我们从这些菌里把甘油葡糖苷提取出来不就好了,而且可以保证100%的生物活性,但这个想法太简单了。首先甘油葡糖苷虽然是细菌或者蓝藻分泌的保护自己的成分,但并不会分泌到胞外,我们知道现在非常火的二裂酵母溶胞产物,里面的成分十分复杂,也没有定量的标准。如果需要打碎细胞,然后从中提取甘油葡糖苷将是一个非常困难的过程。另外从1980年以来,大约有几十种蓝藻被筛选出来,是可以合成甘油葡糖苷的(见图6一般中等耐盐蓝藻更喜欢积累甘油葡糖苷,低耐盐菌更喜欢积累蔗糖或者海藻糖),所以筛选菌株才是首要的工作。

图6 已知基因组序列的 67 株蓝藻菌株的系统发育树(neighbour joining algorithm NJ算法)。这棵树被分成了一大群α-蓝藻和β-蓝藻。颜色条表示是否在基因组序列中发现了兼容溶质生物合成的基因(Suc –蔗糖;Tre–海藻糖;GG –甘油葡糖苷;GGA –葡萄糖基甘油酸酯;GB –甘氨酸甜菜碱)。虚线条表示该途径只是不完整的。
目前通过基因工程手段改造蓝藻集胞藻Synechocystissp. PCC6803,提高了蓝藻细胞中αGG 的合成效率并实现了αGG 产物向胞外的部分分泌。PCC6803也是文献中研究最多的菌种。
发酵法制取活性物最优势的地方在于获得的成分都是具有生物活性的,一般不用考虑构型的问题。例如Vc、谷胱甘肽、麦角硫因等大多都是通过发酵法制取的。另外对于合成复杂的活性物或者高分子成分,发酵也是常用的方法,比如依克多因、壬二酸、β-葡聚糖等。但发酵法最大的壁垒在于菌株的筛选,以及后续的分离提纯。所以发酵法获得的产品价格是最高的。
l 生物酶法
生物酶法合成即将生物体内的酶提取出来,在体外催化化学合成。由于酶大多数是蛋白质,催化效率极高,而催化温度很低,具有特定的构象选择性,是非常具有潜力的一种合成法。比如我们现在看到市场上有大量的代可可脂巧克力,一般会用到氢化植物油,然后通过酯交换得到和可可脂比较相似的脂肪酸组成,但传统化学法比如酯交换反应一般通过碱催化,180-220℃反应,长时间反应容易生成反式脂肪酸,如果采用酶法合成,在较低的温度(50-60℃)下就能获得不含反式脂肪酸的产品。市场上还有很多0反式脂肪酸的植物奶油、植脂末,婴幼儿奶粉中的代母乳脂,都可以通过酶法来合成。
甘油葡糖苷的酶法合成首先会选择和生物体内一致的过程(见图7),但实际中使用较多的是蔗糖磷酸化酶(LmSPase),这是一种特异性的转糖苷酶,有比较广泛的应用。蔗糖磷酸酶在没有磷酸盐存在的条件下,可以催化甘油和蔗糖反应直接生成α-GG,所以路径短了许多,产率也更高。表1是甘油葡糖苷的几种合成方法,采用蔗糖磷酸化酶的产率大约为90%,速率达到12.7mg•L-1•h-1,虽然采用 甘油葡萄糖苷磷酸化酶(BsGGP)的速率更快,但它的底物是1-磷酸-葡萄糖(G-1-P),这个原料也需要蔗糖磷酸酶来催化,另外最后的产物引入了磷酸盐,在除杂上又会多一个步骤。

图7:甘油葡糖苷的模拟生物体内的酶法合成过程
表1. α-GG的合成方法比较

综上,可看出酶法才是α-GG最经济的合成方法,原料便宜,催化效率高,副产物少,后期分离提纯更容易。
当然酶的催化向来是双向的,既能合成也会水解,最终达到一个平衡。在反应中,溶剂的选择非常重要,也是具有很大难度的技术。
我司代理萱嘉的高纯度甘油葡糖苷,采用离子液体作为酶催化反应的溶剂,提高了反应的选择性,更好的维持酶的活性。并且采用固定化酶,可以反复使用(酶的成本占反应的主要部分),得以降低成本。最终蔗糖的转化率>92%,反应液中2-α-GG浓度>10%,该工艺极具优势,见图8.图9.

图8. 离子液体作为酶催化反应溶剂的优势

图9. 萱嘉甘油葡糖苷的合成示意图
现在九九八十一难之间还差着一难,那就是——纯化。纯化是最终产品品质的决定性因素,即使合成的产率不高,杂质也很多,但纯化做得好,依然可以得到高含量的目标产物,只是成本上的区别而已。不过前面的产物越复杂,后期的纯化步骤也会越复杂。一般分离的步骤会先通过活性炭吸附色素和气味成分,然后通过膜过滤和各种色谱柱层层分离,最后再蒸除水分以得到目标浓度的产品。由于萱嘉合成产率高,副产物少,经过纯化,是市场上少有的可以完全脱除甘油的产品,也是同品质产品中,最具技术和成本优势。
至此,甘油葡糖苷的已经连载完,可能后面还会有更多新的发现,愿与大家分享,如果有不对的地方,是个人能力所限,愿与大家多多交流,共同进步。
注:甘油葡糖苷的INCI名也可以叫密罗木提取物,但密罗木长于非洲沙漠,生长缓慢,数量也不多,大多数甘油葡糖苷为人工合成而非植物提取,另植物中存在βGG构型,是蓝藻和酵母中不存在的。
参考文献
徐恺, 李丽, 付铭洋,等. 甘油葡萄糖苷αGG的制备方法及其研究进展[J]. 工业微生物, 2020(4).
Goedl C , Sawangwan T , Mueller M , et al. A High‐Yielding Biocatalytic Process for the Production of 2‐O‐(α‐D‐glucopyranosyl)‐sn‐glycerol, a Natural Osmolyte and Useful Moisturizing Ingredient[J]. Angewandte Chemie, 2010, 47(52):10086-10089.
Tan X , Luo Q , Lu X . Biosynthesis, biotechnological production, and applications of glucosylglycerols[J]. Applied Microbiology & Biotechnology, 2016, 100(14):6131-6139.


关闭
Tel: +86-15989178436
020-31920473
Address: No. 1, Dalixinzhuang Southeast Street, Taihe Town, Baiyun District, GuangzhouTel: +86-18201729922
Address: Room A201, Building 8, 689 Chundong Road, Minhang District, Shanghai
